Questões de Concurso
Filtrar
66 Questões de concurso encontradas
Página 7 de 14
Questões por página:
Questões por página:
Concurso:
Petrobras
Disciplina:
Algoritmos e Estrutura de Dados
Seja um vetor de inteiros com 400 elementos distintos ordenados em ordem crescente.
Qual é o número máximo de iterações necessárias para encontrar um elemento qualquer do vetor caso seja utilizado o algoritmo de busca binária?
Qual é o número máximo de iterações necessárias para encontrar um elemento qualquer do vetor caso seja utilizado o algoritmo de busca binária?
Concurso:
Petrobras
Disciplina:
Algoritmos e Estrutura de Dados
Qual figura representa uma árvore AVL?
Concurso:
Petrobras
Disciplina:
Algoritmos e Estrutura de Dados
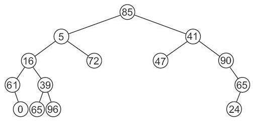
A figura a seguir apresenta uma árvore binária.
Uma função irá percorrê-la em ordem simétrica, inserindo seus nós em uma pilha (implementada sobre uma lista encadeada) à medida que eles forem sendo visitados. A pilha criada por essa função é
Concurso:
BNDES
Disciplina:
Algoritmos e Estrutura de Dados
Em uma reunião técnica sobre a estrutura de dados que será utilizada em um sistema de computação científica, apontou-se, corretamente, que a árvore B+
Concurso:
BNDES
Disciplina:
Algoritmos e Estrutura de Dados
Observe a árvore binária a seguir.
No percurso em pré-ordem dessa árvore, o quarto elemento a ser visitado é o