Questões de Concurso
Filtrar
270 Questões de concurso encontradas
Página 38 de 54
Questões por página:
Se Ω representar um espaço amostral de determinado experimento aleatório, A d Ω e B d Ω forem dois eventos com P(A) = 0,4 e P(B) = 0,8 e se
e
forem, respectivamente, os eventos complementares de A e B, então
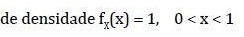
A função de densidade de probabilidade de uma variável aleatória contínua X é expressa por:

Se
então a função de densidade da variável Y para y
0 é expressa por
O tempo de duração de processos judiciais (em anos) que tramitam em certo tribunal é representado por uma variável aleatória contínua Y cuja função de distribuição acumulada é expressa por:

A partir dessa situação hipotética, assinale a opção correta.
A distribuição uniforme de uma variável aleatória X definida no intervalo com a ≤ x ≤ b tem como função densidade probabilidade:

A média dessa distribuição é: