Questões de Concurso
Filtrar
45 Questões de concurso encontradas
Página 5 de 9
Questões por página:
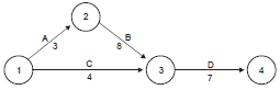
Instruções: Considere a figura e as informações abaixo para responder à questão.

O diagrama representa parte do cronograma de uma obra em que se prevê a construção de formas de madeira para concretagem, constituídas de madeira e ferragem. As atividades relacionadas são: A: compra da madeira, B: corte e preparo da madeira, C: compra da ferragem e D: montagem das formas.
Com relação ao diagrama, considere:
I. As tarefas A e C são independentes e podem ser iniciadas simultaneamente.
II. Um atraso de sete dias na compra das ferragens implicaria atraso da montagem das formas.
III. O término da última atividade será após 18 dias do início.
Está correto o que se afirma em
Instruções: Considere a figura e as informações abaixo para responder à questão.

O diagrama representa parte do cronograma de uma obra em que se prevê a construção de formas de madeira para concretagem, constituídas de madeira e ferragem. As atividades relacionadas são: A: compra da madeira, B: corte e preparo da madeira, C: compra da ferragem e D: montagem das formas.
O caminho crítico é