Questões de Concurso
Filtrar
                
                  210 Questões de concurso encontradas                
                
                
                  Página 9 de 42                
                
                      Questões por página:
    
                    
                
              
              
            
            Questões por página:
    
                    
                Concurso:
                Banco da Amazônia
              
              
              
              
                
                  Disciplina:
                  
                    
                      Engenharia Elétrica                    
                  
                  
                
              
            
                
             mostrar texto associado
          
          
          
          
          
          
    
                    
        
            
    
        
        
        
        
        
        
        
      Se Vx é a representação fasorial da tensão de saída vx(t), então Vx = (2 + j2ω) -1 V0.
                Concurso:
                Banco da Amazônia
              
              
              
              
                
                  Disciplina:
                  
                    
                      Engenharia Elétrica                    
                  
                  
                
              
            
                
             mostrar texto associado
          
          
          
          
          
          
    
                    
        
            
    
        
        
        
        
        
        
        
      A respeito dos circuitos ilustrados nas figuras I,  II e III,  julgue os seguintes itens.
Se,  nas figuras I e II,   Rx =  Ry,   Vx =  Vy e  Ix =  Iy,  então 
                Concurso:
                Banco da Amazônia
              
              
              
              
                
                  Disciplina:
                  
                    
                      Engenharia Elétrica                    
                  
                  
                
              
            
                
             mostrar texto associado
          
          
          
          
          
          A respeito dos circuitos ilustrados nas figuras I,  II e III,  julgue os seguintes itens.
Se, nas figuras II e III, Ry = Rz, Vy = Vz e Iy = Iz, então Ra = Rb.
    
                    
        
            
    
        
        
        
        
        
        
        
      Se, nas figuras II e III, Ry = Rz, Vy = Vz e Iy = Iz, então Ra = Rb.
                Concurso:
                Banco da Amazônia
              
              
              
              
                
                  Disciplina:
                  
                    
                      Engenharia Elétrica                    
                  
                  
                
              
            
                Concurso:
                Banco da Amazônia
              
              
              
              
                
                  Disciplina:
                  
                    
                      Engenharia Elétrica                    
                  
                  
                
              
            
                
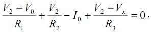
             mostrar texto associado
          
          
          
          
          
          
    
                    
        
            
    
        
        
        
        
        
        
        
      No circuito ilustrado na figura I,
R2 × (Ix + I1 + I0) + (R3 + Rx) × Ix = 0.

