Questões de Concurso
Filtrar
752 Questões de concurso encontradas
Página 3 de 151
Questões por página:
Questões por página:
Nas estruturas de madeira, a continuidade de cada lamela deve ser assegurada pela união longitudinal entre as tábuas que as compõem. Essa união deve ser realizada por colagem de entalhes múltiplos usinados (emendas denteadas) nas extremidades de tábuas consecutivas. As emendas denteadas podem ser usinadas em diferentes formas. De acordo com a figura abaixo a emenda denteada é do tipo:
Fonte: NBR 7.190-1/2022 (Projeto de estruturas de madeira - Parte 1: Critérios de dimensionamento).
Fonte: NBR 7.190-1/2022 (Projeto de estruturas de madeira - Parte 1: Critérios de dimensionamento). Para o concreto com desvio padrão conhecido, quando o concreto for elaborado com os mesmos materiais, mediante equipamentos similares e sob condições equivalentes, o valor numérico do desvio-padrão deve ser fixado com no mínimo 20 resultados consecutivos obtidos no intervalo de 30 dias, em período imediatamente anterior. Em nenhum caso, o valor de sd (desvio-padrão) adotado pode ser menor, em MPa, que:
O aço para concreto armado é um material essencial na construção civil, utilizado para reforçar estruturas de concreto, conferindo resistência à tração e melhorando a durabilidade das construções. O concreto, por si só, é resistente à compressão, mas possui baixa resistência à tração. O aço, por outro lado, é altamente resistente à tração, e a combinação dos dois materiais resulta no concreto armado, amplamente utilizado em vigas, pilares, lajes e fundações. De acordo com o valor característico da resistência de escoamento, é considerada uma barra de aço em:
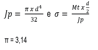
Observe a figura abaixo:

Um eixo circular tem uma extremidade fixa e na outra atua um momento fletor de 264 kgfm. O diâmetro do eixo é de 5 cm. O material do eixo é aço. Com base nisso, calcule a tensão de cisalhamento em kgf/cm².
Dados:

Uma estrutura plana em arco articulado e atirantado é submetida a uma carga uniformemente distribuída, como mostra a figura abaixo.
Considerando o apoio A de segundo gênero, o apoio B de primeiro gênero, e o ponto C, uma ligação articulada de classe C2, esta estrutura se classifica como um sistema estrutural:
Considerando o apoio A de segundo gênero, o apoio B de primeiro gênero, e o ponto C, uma ligação articulada de classe C2, esta estrutura se classifica como um sistema estrutural: