Filtrar
59 Questões de concurso encontradas
Página 1 de 12
Questões por página:
Questões por página:
Concurso:
Câmara Municipal de Carapicuíba - SP
Disciplina:
Matemática
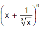
No desenvolvimento de
ordem e o coeficiente do termo x2 são, respectivamente:
Concurso:
Prefeitura de Arapongas - PR
Disciplina:
Matemática
Analise os itens a seguir sobre equações do primeiro grau e assinale a alternativa CORRETA:
I. Resolvendo a equação: 11x + 15 = 143 + 3x, obtemos como resultado o valor 18. II. Após resolver a equação: 19x + 43 = 271 + 7x, obtemos um resultado igual a 19. III. Resolvendo a equação: 37x + 51 = 426 + 12x, obtemos um valor para x igual a 15.
I. Resolvendo a equação: 11x + 15 = 143 + 3x, obtemos como resultado o valor 18. II. Após resolver a equação: 19x + 43 = 271 + 7x, obtemos um resultado igual a 19. III. Resolvendo a equação: 37x + 51 = 426 + 12x, obtemos um valor para x igual a 15.
Concurso:
Prefeitura de Arapongas - PR
Disciplina:
Matemática
Analise os itens a seguir sobre produtos notáveis e assinale a alternativa CORRETA:
I. A expressão C3 B3 + 2C2 B2 - 39CB + 72 é o resultado da operação: (CB + 8).(CB - 3)2.
II. A expressão C4 D4 - 18C3 D3 + 77C2 D2 + 72CD -324 é o resultado da operação: (C2 D2 - 4).(CD - 9)2.
III. Após resolver a operação: (AD - 6).(AD + 8)2 , o resultado obtido é igual a: A3 D3
+ 10A2 D2 - 34AD - 392.
Concurso:
Prefeitura de São João do Paraíso - MA
Disciplina:
Matemática
Assinale a alternativa onde se encontra a forma simplificada e o valor numérico (para x = −1 e a = −2) da diferença 2 / x2 - 2ax + a2 - 2 / x2 - a2:
Concurso:
Câmara de Buritizeiro - MG
Disciplina:
Matemática
, encontra-se