Questões de Concurso
Filtrar
100 Questões de concurso encontradas
Página 5 de 20
Questões por página:
Questões por página:
De acordo com a figura abaixo, determine os valores das incógnitas x e y respectivamente.

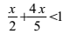
Determine o maior valor inteiro que satisfaz à inequação abaixo.

Em um triângulo retângulo, as medidas dos catetos são expressas, em centímetros, pelas raízes da equação x2−8x + 12 = 0 .Nessas condições, determine a medida da hipotenusa.
O retângulo e o quadrado abaixo são equivalentes(têm a mesma área). Observe atentamente as figuras e determine qual a medida do lado do quadrado e o seu perímetro, respectivamente.

Na figura abaixo, determine as medidas de x, y e z, respectivamente.
