Questões de Concurso
Filtrar
48 Questões de concurso encontradas
Página 6 de 10
Questões por página:
Considere o conjunto de todos os valores de m e n para os quais a expressão algébrica A, abaixo, está definida.

Nesse conjunto, uma expressão algébrica equivalente a A é
Considere a figura abaixo.

Sabe-se que:
• ABCD é um quadrado cuja medida do lado é x
• DEFG é um quadrado cuja medida do lado é x√2
• FGH é um triângulo retângulo isósceles.
• HIJK é um quadrado cuja medida do lado é a metade da medida do lado do quadrado DEFG
• JKL é um triângulo semelhante ao triângulo FGH
Considere o polinômio 
Se a e b (a > b) são as raízes da equação P(x) = 0, então é FALSO afirmar que
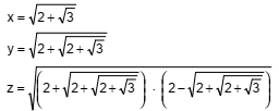
Considere os números reais x, y e z, tais que:

Simplificando a expressão
, obtém-se
Elisa pretende comprar um computador que custa x reais. Ela possui % 70 do valor total do computador e ainda vai ganhar de seus avós uma herança, que será totalmente repartida entre ela e suas irmãs Daniella e Lavínia.
Nessa partilha, Elisa recebeu 0,2777... da herança
Daniella 1200 reais e Lavínia 7/18 da herança.
Ao fazer as contas do quanto possuía para comprar o computador, percebeu que ainda lhe faltavam 200 reais para realizar a compra.
O valor x do computador é, em reais, tal que o número de divisores naturais de x é
Considere os números X e Y, expressos por:

Marque a alternativa verdadeira.