Questões de Concurso
Filtrar
135 Questões de concurso encontradas
Página 20 de 27
Questões por página:
Questões por página:
Concurso:
Prefeitura de Novo Planalto - GO
Disciplina:
Matemática
Durante uma semana, uma professora de ciências pediu que seus alunos registrassem a quantidade de garrafas plásticas recicladas em casa. O resultado, em número de garrafas, foi o seguinte:
Com base nos dados da tabela, qual foi a média de garrafas recicladas por Ana durante a semana?
Com base nos dados da tabela, qual foi a média de garrafas recicladas por Ana durante a semana?
Concurso:
Prefeitura de Novo Planalto - GO
Disciplina:
Matemática
Em um laboratório de ciências, os alunos estão observando o crescimento de uma colônia de bactérias colocada em uma placa de Petri. No início do experimento, havia 200 bactérias. Após medir os resultados, eles perceberam que a cada 3 horas a quantidade de bactérias dobrava. Se o experimento for acompanhado por 9 horas, qual será a quantidade aproximada de bactérias ao final desse período?
Concurso:
Prefeitura de Novo Planalto - GO
Disciplina:
Matemática
Uma empresa aumentou o preço de um produto em 15% e, depois de um mês, concedeu 10% de desconto sobre o novo valor. O preço final ficou:
Concurso:
Prefeitura de Novo Planalto - GO
Disciplina:
Física
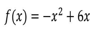
Um estudante lança uma bola verticalmente para cima, e sua altura (em metros) em função do tempo (em segundos) é dada por:

Qual é a altura máxima que a bola atinge?
Concurso:
Prefeitura de Novo Planalto - GO
Disciplina:
Matemática Financeira
Maria precisou fazer um empréstimo de R$ 5.000,00 para reformar sua cozinha. O banco ofereceu juros compostos de 2% ao mês. Ela planeja pagar o empréstimo em 6 meses. Qual será o montante total aproximado que Maria terá que pagar ao final desse período? Considere 1,02³ =1,0612.