limpar filtros
Questões por página:

Julgue o item seguinte, relativo à técnica de amostragem.

Suponha que um caso polêmico esteja sendo julgado por um tribunal e que, para avaliar a proporção de pessoas na população favoráveis ao resultado positivo nesse processo, o tribunal decida fazer uma enquete. Nesse caso, para se calcular o tamanho da amostra que responderá à enquete, será necessário conhecer o tamanho da população.

Julgue o item seguinte, relativo à técnica de amostragem.

Considere que um tribunal pretenda pesquisar a respeito do tempo médio em que processos dos tipos A e B são solucionados. Nesse cenário, supondo que os processos do tipo A sejam solucionados quase todos no mesmo tempo , que os do tipo B sejam solucionados com maior variabilidade , que se escolham n processos de cada tipo e que o tamanho amostral seja desprezível com relação ao tamanho populacional, é correto afirmar que a amostragem estratificada minimiza a variância da estimativa da média de tempo dos processos se comparada com a amostragem aleatória simples com reposição.

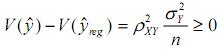
Julgue o item seguinte, relativo à técnica de amostragem.

Considerando os estimadores = média amostral; = estimador regressão para a média populacional e = estimador razão para a média populacional, e sabendo que e que ,é correto afirmar que , somente se cov(X, Y ) < 0,5R V(X),em que R é a razão populacional entre e Y e X.

Considere que a amostra aleatória simples X1, X2, ..., Xn tenha sido retirada de uma distribuição exponencial com função de densidade na forma f(x) = λexp(–λx), em que x > 0 e λ > 0. Com relação a essa amostra e à inferência estatística, julgue o  item  que se segue. 

De acordo com o teorema limite central, a soma segue uma distribuição normal.

Considere que a amostra aleatória simples X1, X2, ..., Xn tenha sido retirada de uma distribuição exponencial com função de densidade na forma f(x) = λexp(–λx), em que x > 0 e λ > 0. Com relação a essa amostra e à inferência estatística, julgue o  item  que se segue. 

A função de distribuição acumulada da estatística de ordem X(n) = max{X1, X2, ..., Xn} é P(X(n) ≤ x) = 1 -e-λnx .