Questões do concurso:
UNESP - 2025 - VUNESP - 2025 - UNESP - Enfermeiro - Área de Atuação: Saúde Mental
limpar filtros
40 Questões de concurso encontradas
Página 6 de 8
Questões por página:
Questões por página:
Concurso:
UNESP
Disciplina:
Raciocínio Lógico
A sequência numérica a seguir foi criada com um padrão lógico aritmético.
7,8,9,8,10,12,10,13,16,13,17,21,17,22,27,22, 28,34, …
Seja F o 24o elemento, G o 28o elemento e H o 35o elemento. O resultado da expressão numérica F + G – H é igual a
7,8,9,8,10,12,10,13,16,13,17,21,17,22,27,22, 28,34, …
Seja F o 24o elemento, G o 28o elemento e H o 35o elemento. O resultado da expressão numérica F + G – H é igual a
O setor de inovação e o de vendas de uma empresa contam, respectivamente, com 15 e 9 funcionários. Com idades menores do que 30 anos, o setor de inovação possui 8 funcionários e o de vendas possui 5.
Para compor a comissão de planejamento estratégico dessa empresa, a diretoria convocará 2 funcionários de cada um desses setores e a escolha será por meio de um sorteio.
A probabilidade de que os 4 sorteados tenham menos do que 30 anos é um valor entre
Para compor a comissão de planejamento estratégico dessa empresa, a diretoria convocará 2 funcionários de cada um desses setores e a escolha será por meio de um sorteio.
A probabilidade de que os 4 sorteados tenham menos do que 30 anos é um valor entre
Considere o triângulo ABC a seguir, que representa o contorno de um terreno cujas medidas são: AB = 130 m; BD = 120 m e BC = 150 m:
Da área total do terreno,3/8 estão reservados para edificações e 2/5 estão reservados para estacionamentos e calçadas. O restante da área será destinada à jardinagem, que ocupará uma área de
Da área total do terreno,3/8 estão reservados para edificações e 2/5 estão reservados para estacionamentos e calçadas. O restante da área será destinada à jardinagem, que ocupará uma área de
Em 2023, o preço de um produto sofreu um aumento de 8% sobre seu preço original. Em 2024, o mesmo produto aumentou 15% e terminou o ano a R$ 55,89. A partir dessas informações, é correto afirmar que o preço original desse produto era
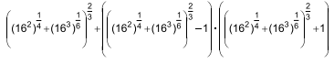
A senha de uma porta com fechadura eletrônica é o número resultante do cálculo da expressão:

A senha dessa fechadura é um valor que pertence ao intervalo de números entre