Questões do concurso:
Prefeitura de Arraial do Cabo - RJ - 2025 - IBAM - 2025 - Prefeitura de Arraial do Cabo - RJ - Professor Docente I - Matemática
limpar filtros
40 Questões de concurso encontradas
Página 8 de 8
Questões por página:
Questões por página:
Concurso:
Prefeitura de Arraial do Cabo - RJ
Disciplina:
Matemática
Um polígono regular tem 100 diagonais que passam pelo seu centro. Logo, a diferença, em graus, entre a medida de um ângulo interno e de um ângulo externo do polígono é:
Concurso:
Prefeitura de Arraial do Cabo - RJ
Disciplina:
Matemática
Considere o paralelepípedo retângulo ABCDEFGH representado na figura a seguir e P e Q como pontos pertencentes, respectivamente, às arestas EH e FG de modo que o segmento PQ seja paralelo à aresta HG.
Dados:
med(AB) = 3 cm med(EH) = 6 cm med(CG) = (x + 2) cm med(EP) = x cm
Se o volume do sólido ABFEPQ corresponde a 20% do volume do paralelepípedo, então a área total desse paralelepípedo, em cm², é:
Dados:
med(AB) = 3 cm med(EH) = 6 cm med(CG) = (x + 2) cm med(EP) = x cm
Se o volume do sólido ABFEPQ corresponde a 20% do volume do paralelepípedo, então a área total desse paralelepípedo, em cm², é:
Concurso:
Prefeitura de Arraial do Cabo - RJ
Disciplina:
Matemática
Se S é a soma de todos os divisores positivos de 105 que não são primos e P é a soma de todos os divisores positivos de 105 que são primos, a diferença S – P é igual a:
Concurso:
Prefeitura de Arraial do Cabo - RJ
Disciplina:
Matemática
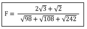
Considere a igualdade a seguir:

Se √6 = m, tem-se que F é igual a:
Concurso:
Prefeitura de Arraial do Cabo - RJ
Disciplina:
Matemática
Se a área da secção meridiana de um cone equilátero é igual a M, a área lateral desse cone é: