Questões do concurso:
Prefeitura de Itapoá - SC - 2025 - CONSULPAM - 2025 - Prefeitura de Itapoá - SC - Professor Disciplina de Matemática
limpar filtros
60 Questões de concurso encontradas
Página 2 de 12
Questões por página:
Questões por página:
Concurso:
Prefeitura de Itapoá - SC
Disciplina:
Matemática
Analise a equação matricial a seguir:
Um possível valor de p para que a equação tenha solução inteira está na alternativa:
Um possível valor de p para que a equação tenha solução inteira está na alternativa:
Concurso:
Prefeitura de Itapoá - SC
Disciplina:
Matemática
Sendo M = (aij) uma matriz quadrada de ordem 3 e aij = j2 – i, o determinante da matriz M é:
Concurso:
Prefeitura de Itapoá - SC
Disciplina:
Matemática
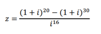
Considere o número complexo a seguir:

A forma algébrica do número complexo acima é:
Concurso:
Prefeitura de Itapoá - SC
Disciplina:
Matemática
O coeficiente de x3 no desenvolvimento de (2 – 3x)5 é:
Concurso:
Prefeitura de Itapoá - SC
Disciplina:
Matemática
Considere uma progressão aritmética de razão positiva e formada por três termos. Sabe-se que a soma desses termos é igual a 36 e o produto entre eles é 1536. A razão dessa progressão é: