Questões do concurso:
Prefeitura de Boa Vista - RR - 2025 - CESPE / CEBRASPE - 2025 - Prefeitura de Boa Vista - RR - Analista - Especialidade: Farmacêutico
limpar filtros
60 Questões de concurso encontradas
Página 3 de 12
Questões por página:
Questões por página:
Concurso:
Prefeitura de Boa Vista - RR
Disciplina:
Farmácia
Um paciente com insônia crônica está em uso de diazepam (benzodiazepínico), e apresentou efeito sedativo-hipnótico. Após internação hospitalar, na qual recebeu flumazenil, o paciente apresentou melhora do nível de consciência e redução da sonolência.
Com base na situação hipotética precedente, é correto afirmar que o antagonismo no caso apresentado é do tipo
Com base na situação hipotética precedente, é correto afirmar que o antagonismo no caso apresentado é do tipo
Concurso:
Prefeitura de Boa Vista - RR
Disciplina:
Farmácia
Um paciente esquizofrênico utiliza haloperidol (neuroléptico típico, antagonista dopaminérgico D2). Após episódio de agitação psicomotora intensa, a equipe médica associou lorazepam (benzodiazepínico) esquema. A administração do lorazepam promoveu redução significativa da ansiedade e do comportamento agressivo.
Na situação hipotética precedente, a associação farmacológica entre haloperidol e lorazepam é do tipo
Na situação hipotética precedente, a associação farmacológica entre haloperidol e lorazepam é do tipo
Concurso:
Prefeitura de Boa Vista - RR
Disciplina:
Farmácia

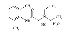
Internet: https://nortecquimica.com.br/ifa
A figura precedente apresenta a estrutura molecular do cloridrato de lidocaína monoidratado. Esta substância
Concurso:
Prefeitura de Boa Vista - RR
Disciplina:
Farmácia
O cloridrato de propranolol é disponibilizado em comprimidos ou solução oral, sendo indicado no tratamento de distúrbios cardiovasculares. Após administração oral, o cloridrato de propranolol sofre extenso metabolismo hepático de primeira passagem. Acerca desse medicamento, assinale a opção correta.
Concurso:
Prefeitura de Boa Vista - RR
Disciplina:
Farmácia
O cloridrato de sertralina encontra-se disponível para administração via oral em formulações de 25 mg a 100 mg. Corresponde a um medicamento de amplo índice terapêutico, cuja posologia usualmente preconizada é de 50 mg/dia a 200 mg/dia. Acerca da farmacodinâmica desse antidepressivo, assinale a opção correta.