Questões do concurso:
Prefeitura de Paramoti - CE - 2025 - Fundação CETREDE - 2025 - Prefeitura de Paramoti - CE - Auxiliar de Serviços Gerais
limpar filtros
60 Questões de concurso encontradas
Página 8 de 12
Questões por página:
Questões por página:
Concurso:
Prefeitura de Paramoti - CE
Disciplina:
Matemática
Um terreno retangular mede 2,4 hm de comprimento por 350 m de largura. Sua área, em m², é de
Concurso:
Prefeitura de Paramoti - CE
Disciplina:
Matemática
Calcule o valor numérico de 2a²−3b+ab para a = −2 e b = 5 e marque a opção CORRETA.
Concurso:
Prefeitura de Paramoti - CE
Disciplina:
Raciocínio Lógico
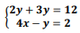
Resolvendo o sistema:

encontramos os dados da opção
Concurso:
Prefeitura de Paramoti - CE
Disciplina:
Matemática
Um produto custa R$ 480,00. O preço sofre dois descontos sucessivos: o primeiro de 20% e o segundo de 15%. O valor final do produto é
Concurso:
Prefeitura de Paramoti - CE
Disciplina:
Matemática
Simplificando a expressão: ( 3√8 ) 4 ÷ √16, encontramos o valor de