Questões do concurso:
Prefeitura de Blumenau - SC. - 2025 - FURB - 2025 - Prefeitura de Blumenau - SC - Professor de Matemática
limpar filtros
40 Questões de concurso encontradas
Página 4 de 8
Questões por página:
Questões por página:
Concurso:
Prefeitura de Blumenau - SC.
Disciplina:
Matemática
Helena foi ao mercado com uma nota de 100 reais. Ela comprou um pacote de arroz por R$ 7,50; um quilo de carne por R$ 58,90 e um pacote de pão por R$ 6,20. Ao pagar esses itens com a nota de 100 reais, pode-se afirmar que o troco recebido por ela foi:
Concurso:
Prefeitura de Blumenau - SC.
Disciplina:
Matemática
Analise a figura a seguir em que é destacado um ângulo:
O ângulo α em destaque é classificado como um ângulo:
O ângulo α em destaque é classificado como um ângulo:
Concurso:
Prefeitura de Blumenau - SC.
Disciplina:
Matemática
Um professor apresentou algumas medidas de segmentos como possíveis lados de um triângulo. Analisando as alternativas, assinale aquela cujas medidas podem realmente formar um triângulo:
Concurso:
Prefeitura de Blumenau - SC.
Disciplina:
Matemática
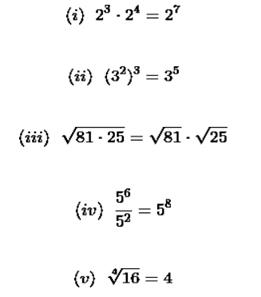
Analise as igualdades a seguir:
Pode-se afirmar que as igualdades corretas são:
Pode-se afirmar que as igualdades corretas são:
Concurso:
Prefeitura de Blumenau - SC.
Disciplina:
Matemática
Para fazer parte do grêmio da escola, candidataram-se 20 estudantes. Desses,12 eram alunos do 7º ano e o restante eram alunos do 8º ano. Pode-se afirmar que, dentre os que se candidataram, o percentual de estudantes do 8º ano era, em %, de: