50 Questões de concurso encontradas
Página 2 de 10
Questões por página:
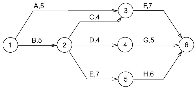
A reforma de uma escola pública foi planejada de acordo com o cronograma PERT-CPM da figura a seguir:

Dados:
– as atividades são representadas por letras, seguidas de sua duração em semanas.
Com a previsão do início do ano letivo e, portanto, para garantir a entrega da obra de reforma da escola dentro do cronograma planejado, as atividades que não podem atrasar são:
Na composição do orçamento para o revestimento do piso de uma empresa de engenharia com granito utilizou-se a tabela de custos unitários a seguir:
Assentamento do granito unidade (m2)

Dados:
– a empresa responsável pelo serviço recolhe 125% de encargos sociais sobre o custo da mão de obra e pratica BDI de 25%;
– dimensões do piso da empresa de engenharia: 20 x 30 m.
O preço total para o assentamento do piso de granito na empresa de engenharia é:
Para o dimensionamento do projeto de instalações elétricas de uma casa, a potência mínima de tomadas de uso geral para uma sala retangular com 8,0 m de largura e 12,0 m de comprimento é
Para o projeto das instalações elétricas de uma edificação, as dimensões internas dos eletrodutos e de suas conexões devem permitir que, após montagem da linha, os condutores possam ser instalados e retirados com facilidade. Os eletrodutos especificados para a passagem de três condutores deverão ser dimensionados para que a sua taxa de ocupação seja de, no máximo,
Para o sistema de abastecimento de água de uma nova área de expansão urbana de um município brasileiro, será necessário projetar um reservatório que deverá receber a vazão de 25 litros/segundo de água. A potência necessária de uma bomba centrífuga a ser utilizada no sistema de abastecimento é:
Dados:
– altura manométrica prevista do projeto = 48 m;
– rendimento da bomba centrífuga a ser utilizada = 80%.