Questões do concurso:
SEDUC - 2025 - CESPE / CEBRASPE - 2026 - SEDUC-SE - Professor de Educação Básica - Área de Atuação: Grupo I - Ensin
limpar filtros
60 Questões de concurso encontradas
Página 3 de 12
Questões por página:
Questões por página:
Concurso:
SEDUC
Disciplina:
Matemática
Considerando que f(x) = 2 x − 2 −x, assinale a opção que corresponde ao valor de f-1(−2) .
Concurso:
SEDUC
Disciplina:
Matemática
Certa criança quer subir uma escada com 12 degraus, de modo a subir 1 ou 2 degraus de cada vez.
A partir dessa situação hipotética, assinale a opção que corresponde à quantidade de formas distintas que a criança poderá subir essa escada.
A partir dessa situação hipotética, assinale a opção que corresponde à quantidade de formas distintas que a criança poderá subir essa escada.
Concurso:
SEDUC
Disciplina:
Matemática
José está preparando uma pizza e a deixa pré-cortada em 8 fatias iguais. Ele decide colocar queijo azul em 3 fatias, mas, para que o sabor não fique forte demais, o queijo não pode ficar em duas fatias vizinhas.
A partir dessa situação hipotética, é correto afirmar que a quantidade de maneiras diferentes que José poderá escolher as 3 fatias para colocar o queijo azul na pizza corresponde a
A partir dessa situação hipotética, é correto afirmar que a quantidade de maneiras diferentes que José poderá escolher as 3 fatias para colocar o queijo azul na pizza corresponde a
Concurso:
SEDUC
Disciplina:
Matemática
Durante o surto de uma doença respiratória em certa cidade, observou-se nos registros epidemiológicos que 3 pessoas adoeceram na primeira semana, outras 9 pessoas na segunda semana e outras 27 pessoas na terceira semana. Seguindo essa mesma lógica, o número de doentes aumentou semanalmente, até que, na oitava semana do surto,16% da população da cidade já havia ficado doente.
A partir das informações fornecidas na situação hipotética precedente, é correto inferir que a cidade em questão possui
A partir das informações fornecidas na situação hipotética precedente, é correto inferir que a cidade em questão possui
Concurso:
SEDUC
Disciplina:
Matemática
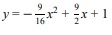
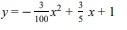
Certo bombeiro, ao combater um incêndio, lançou um jato de água cuja trajetória é parabólica. Sabe-se que a mangueira foi segurada a 1 metro de altura e que a altura máxima que o jato de água pode atingir é de 10 metros, a 4 metros de distância do bombeiro.
A partir das informações fornecidas na situação hipotética precedente, assinale a opção que corresponde à equação da trajetória parabólica do jato de água, em que y denota a altura do jato em relação ao solo e x, a distância do jato em relação ao bombeiro, ambos em metros.
A partir das informações fornecidas na situação hipotética precedente, assinale a opção que corresponde à equação da trajetória parabólica do jato de água, em que y denota a altura do jato em relação ao solo e x, a distância do jato em relação ao bombeiro, ambos em metros.