Questões do concurso:
Câmara de Almirante Tamandaré - PR - 2016 - FAFIPA - 2016 - Câmara de Almirante Tamandaré - PR - Advogado
limpar filtros
50 Questões de concurso encontradas
Página 6 de 10
Questões por página:
Questões por página:
Concurso:
Câmara de Almirante Tamandaré - PR
Disciplina:
Matemática
Ao resolver a equação do segundo grau abaixo:
3x² - 9x + 6 = 0
Assinale a alternativa que representa, respectivamente, as raízes x1 e x2 desta equação.
Concurso:
Câmara de Almirante Tamandaré - PR
Disciplina:
Raciocínio Lógico
Considere a sequência numérica a seguir:

Concurso:
Câmara de Almirante Tamandaré - PR
Disciplina:
Matemática
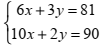
Ao resolver o sistema linear:
, assinale a alternativa que representa, respectivamente, o valor das variáveis X e Y.
Concurso:
Câmara de Almirante Tamandaré - PR
Disciplina:
Matemática
Ao calcular o determinante da matriz
, obtemos um resultado igual a:
Concurso:
Câmara de Almirante Tamandaré - PR
Disciplina:
Raciocínio Lógico
Considere os conjuntos R = {1,2,6,7,12,13,16,20} e S ={2,3,4,7,12,20,21,23,26}. Sobre esses dois conjuntos podemos afirmar que: