Questões do concurso:
Prefeitura Municipal de Francisco Morato - SP - 2026 - Avança SP - 2026 - Câmara de Francisco Morato - SP - Técnico em Informática
limpar filtros
50 Questões de concurso encontradas
Página 7 de 10
Questões por página:
Questões por página:
Disciplina:
Noções de Informática
Jair, técnico de informática em uma empresa de desenvolvimento de software, está organizando os arquivos de backup do servidor. Ele percebe que um dos diretórios ocupa 3.072 MB e precisa informar ao gestor o tamanho aproximado desse diretório em gigabytes (GB), utilizando o sistema de medidas usual em informática, onde: 1 GB = 1024 MB. Com base nessas informações, qual é o tamanho do diretório em gigabytes?
Assinale a alternativa correta.
Assinale a alternativa correta.
Disciplina:
Matemática
Qual é o perímetro do triângulo PQR, retângulo em P, sabendo que um dos catetos é dado por PQ = x + 3, o outro por PR = x − 2 e a hipotenusa por QR = x + 8?
Assinale a alternativa correta.
Assinale a alternativa correta.
Disciplina:
Matemática
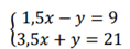
Considere o sistema de equações do primeiro grau abaixo:
Assinale a alternativa que apresenta os valores corretos de x e y, respectivamente, que resolvem o sistema acima.
Assinale a alternativa que apresenta os valores corretos de x e y, respectivamente, que resolvem o sistema acima.
Disciplina:
Matemática
O futuro submarino nuclear brasileiro, denominado SN‑Álvaro Alberto (SN‑10), está projetado para atingir velocidades submersas superiores a 25 nós. Considere que 1 nó equivale a 1,852 km/h, que essa velocidade é mantida constante e assinale a alternativa correta que apresenta a distância percorrida, em quilômetros, após 12 horas navegando a 25 nós.
Disciplina:
Matemática Financeira
Roberto aplicou R$ 18.350,00 em um investimento que rende juros simples a uma certa taxa ao ano. Após 6 anos, Roberto pretende retirar o montante.
Considerando o contexto acima, utilize as afirmativas a seguir como parte integrante da resolução, identifique quais são verdadeiras ou falsas e, em seguida, assinale a alternativa correta correspondente:
I. Adotando que a taxa de juros simples aplicada seja de 5% ao ano.
II. Adotando que a taxa de juros simples aplicada seja de 11% ao ano.
III. O montante obtido foi de R$ 30.461,00.
IV. O montante obtido foi de R$ 24.000,00.
Considerando o contexto acima, utilize as afirmativas a seguir como parte integrante da resolução, identifique quais são verdadeiras ou falsas e, em seguida, assinale a alternativa correta correspondente:
I. Adotando que a taxa de juros simples aplicada seja de 5% ao ano.
II. Adotando que a taxa de juros simples aplicada seja de 11% ao ano.
III. O montante obtido foi de R$ 30.461,00.
IV. O montante obtido foi de R$ 24.000,00.