Questões de Concurso
Filtrar
597 Questões de concurso encontradas
Página 76 de 120
Questões por página:
Questões por página:
Concurso:
Correios
Disciplina:
Engenharia de Telecomunicações
mostrar texto associado
Para digitalizar esse sinal, deve-se amostrá-lo a uma taxa igual ou superior a 15.000 amostras por segundo, para que não ocorra aliasing.
Concurso:
Correios
Disciplina:
Engenharia de Telecomunicações
mostrar texto associado
Se o referido sinal for transmitido por meio de modulação analógica AM-DSB em um transmissor linear, a largura de banda do sinal modulado será de 30 kHz.
Concurso:
Correios
Disciplina:
Engenharia de Telecomunicações
mostrar texto associado
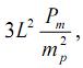
Considere que um quantizador uniforme propicie uma razão sinal-ruído de quantização dada por, em que RSR =
em que L é o número de níveis de quantização, Pm , a potência do sinal e mp, a amplitude de pico do sinal, e que as amplitudes absolutas do sinal de áudio em questão sejam uniformemente distribuídas entre 0 e mp. Nessas condições, se as amostras do sinal forem quantizadas por um quantizador uniforme de 8 bits, a RSR será maior que 40 dB.
Concurso:
Correios
Disciplina:
Engenharia de Telecomunicações
mostrar texto associado
Os sistemas RFID são cada vez mais utilizados em aplicações que exigem segurança elevada, como em controle de acesso de pessoas e em sistemas de pagamentos, o que requer medidas eficazes contra tentativas de ataque à rede de comunicação. Nesse tipo de aplicação, a comunicação RFID entre dispositivos indutivamente acoplados operando em 13,56 MHz tem sido evitada, até que algoritmos de criptografia sejam implementados, já que, nessa faixa, a comunicação pode ser interceptada a uma distância de até 10 m.
Concurso:
Correios
Disciplina:
Engenharia de Telecomunicações
mostrar texto associado
O alinhamento entre antenas de leitores e antenas de etiquetas, assim como o ambiente de propagação no qual os dispositivos então inseridos, constituem fatores que podem interferir no desempenho de um sistema RFID.