Questões de Concurso
Filtrar
92 Questões de concurso encontradas
Página 6 de 19
Questões por página:
Para aplicação do LR - Limite de Retenção (ou LT - Limite Técnico) por risco, deve-se considerar a condição técnica de:
I - ...risco isolado, para avaliar o montante de comprometimento a ser assumido (IS).
II - ...risco de perda acumulada nos sinistros.
III - ...o montante de Prêmio Puro angariado na apólice.
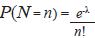
Considerando que a variável número de sinistros (Nt) tem distribuição de Poisson, dada por:
cujo modelo para os riscos anuais é dado por:
Assinale a opção incorreta, considerando o seguinte texto:
Na análise coletiva do risco, duas distribuições consideradas são: Poisson e Binomial Negativa. Tomando a distribuição de Poisson, dizemos que, quando n (número de sinistros) tem distribuição de Poisson, Scol tem distribuição de Poisson Composta. Nesta situação, na maioria dos casos, o processo de ocorrência de sinistros satisfará as condições de Poisson, quais sejam:
Analisando as sentenças abaixo e indicando por V - Verdadeira e por F - Falsa, indique a opção correta correspondente, considerando o seguinte:
O modelo do Risco Coletivo Anual analisa a distribuição de sinistros de uma dada carteira como um todo, sem preocupar-se com as características de cada um dos sinistros, caso da teoria do risco individual. Logo, considerando a teoria do risco coletivo - anual descrita pelo modelo:
Scol = X1 + X2 +...+ Xn
Podemos afirmar que:
I. X1 + X2 +...+ Xn são independentes e identicamente distribuídas.
II.se X tem distribuição discreta, Scol também terá de distribuição discreta.
III. se X tem distribuição contínua, Scol poderá ter qualquer tipo de distribuição.
Analisando as sentenças abaixo e indicando por V - Verdadeira e por F - Falsa, indique a opção correta correspondente, considerando o seguinte texto:
Os modelos de carregamento (ou também denominado margem) de segurança mais utilizados são baseados nos seguintes princípios de cálculo:
I. Princípio do valor esperado:
II. Princípio do desvio-padrão:
III. Princípio da variância: