Questões de Concurso
Filtrar
78 Questões de concurso encontradas
Página 6 de 16
Questões por página:
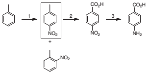
O precursor do ácido fólico é o PABA (ác.4-aminobenzóico). Os reagentes para a síntese do PABA são:

Rota sintética do PABA

Um análogo do prozac (fluoxetin(A) é o N-metil-4-fenil-4-(4- (trifluorometil)fenoxi)butan-2-amina.

O produto majoritário da reação abaixo é:

análogo da fluoxetina
Os reagentes que você utilizaria para transformar ácido salicílico em aspirina são:
O DEET (N, N-dietil-3-toluamid(A) é um ingrediente utilizado em repelentes. Os reagentes para a sua síntese são:

A ciprofloxacina é um agente antimicrobiano que contém um átomo de flúor ligado a um núcleo aromático.

Os reagentes e o procedimento a serem usados para preparar fluorobenzeno pela metodologia de Sandmeyer são: