Filtrar


Questões por página:

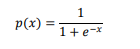
Uma empresa de análise de crédito está utilizando uma rede neural para prever a probabilidade de um cliente ser bom pagador, com base em suas características financeiras. A rede neural calcula uma pontuação x, que é convertida em uma probabilidade p utilizando a função sigmoide:


Imagem associada para resolução da questão

Em que e é aproximadamente 2,72.


A probabilidade p indica a chance de o cliente ser um bom pagador. A empresa define a classificação dos clientes da seguinte maneira:


• Se p ≥ 0,50, o cliente é classificado como um provável bom pagador.


• Se p < 0,50, o cliente é classificado como um provável mau pagador.


A pontuação x de cada cliente é calculada com base em três características:


Imagem associada para resolução da questão


Considere os seguintes clientes e suas características:


Imagem associada para resolução da questão


Com base nos dados fornecidos e no modelo da empresa, podemos concluir que

Considere os pontos A=(0,0) e B=(900,500) no plano cartesiano. Determine o número total de pontos com coordenadas inteiras que pertencem ao segmento de reta que conecta os pontos A e B, incluindo os próprios pontos A e B.

Considere os números complexos Z1 = 1 + 2i e Z2 = 3 − 4i. O produto entre os complexos Z1. Z2 é

Um cilindro e uma esfera têm volumes iguais. O cilindro tem altura h e raio da base r. A esfera tem raio R. Se o raio da esfera é o triplo do raio da base do cilindro, qual é a relação entre a altura do cilindro e o raio da base do cilindro?
Uma urna contém 12 bolas numeradas de 1 a 12. Um experimento consiste em retirar 5 bolas da urna, sem reposição, e ordenar essas 5 bolas em uma sequência. Qual é a probabilidade de que, ao ordenar as 5 bolas retiradas, a sequência de números forme uma progressão aritmética?