Questões de Concurso
Filtrar
40 Questões de concurso encontradas
Página 2 de 8
Questões por página:
Questões por página:
Concurso:
Prefeitura de Pedras de Fogo - PB
Disciplina:
Matemática
Tome o número λ abaixo, com n e x ∈ N, e 0 < x ≠ 1

Nessas condições, o valor de λ será:
Concurso:
Prefeitura de Pedras de Fogo - PB
Disciplina:
Matemática
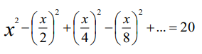
Observe a sequência infinita abaixo:
O valor de x é igual a:
O valor de x é igual a:
Concurso:
Prefeitura de Pedras de Fogo - PB
Disciplina:
Matemática
Observe a matriz M abaixo, cujos elementos são números reais não nulos.

Acerca de M e seus elementos, assinale a alternativa cuja ocorrência não a tornaria uma matriz singular:
Concurso:
Prefeitura de Pedras de Fogo - PB
Disciplina:
Matemática
Considere todos os anagramas formados com as letras da palavra PEDRAS. Ao escolher ao acaso um desses anagramas, a probabilidade do anagrama escolhido iniciar com uma vogal ou terminar com uma consoante é igual a:
Concurso:
Prefeitura de Pedras de Fogo - PB
Disciplina:
Matemática
Dona Ana tinha um antigo relógio de ponteiros na parede de sua casa que tocava uma badalada na metade de cada hora corrente, e mais, a cada hora completada, um número de badaladas igual à hora correspondente.
Quantas badaladas o relógio de Dona Ana tocava em uma semana:
Quantas badaladas o relógio de Dona Ana tocava em uma semana: