Questões de Concurso
Filtrar
60 Questões de concurso encontradas
Página 1 de 12
Questões por página:
Questões por página:
Concurso:
Prefeitura de Jaguaribe - CE
Disciplina:
Biologia
Em uma determinada região, houve um processo de destruição da vegetação. Após algum tempo, caso não haja outra intervenção humana, espera-se que as plantas recolonizem esse lugar. Suponha que existem 5 espécies de plantas que potencialmente possam colonizar a região devastada. O quadro abaixo descreve o nível de sobrevivência (alto, médio e baixo) dessas plantas de acordo com o nível de sombreamento (0%,30%,60% e 90%).
Diante das informações do quadro e dos seus conhecimentos, assinale a alternativa correta acerca da colonização da região devastada.
Diante das informações do quadro e dos seus conhecimentos, assinale a alternativa correta acerca da colonização da região devastada.
Concurso:
Prefeitura de Jaguaribe - CE
Disciplina:
Biologia
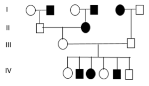
O heredograma abaixo mostra uma doença genética, que segue a herança mendeliana, presente em uma determinada família:
Diante do heredograma, atribua V, caso verdadeiro, ou F, caso falso, para as assertivas a seguir: ( ) Indivíduos afetados pela doença são todos homozigotos. ( ) Não há qualquer relação de dominância entre o gene saudável e o gene mutante, pois existe a mesma quantidade de indivíduos saudáveis e doentes. ( ) A doença é ligada ao sexo, pois afeta mais homens que mulheres. ( ) O casal da geração III é formado por dois indivíduos heterozigotos. A sequência correta, no sentido de cima para baixo, é
Diante do heredograma, atribua V, caso verdadeiro, ou F, caso falso, para as assertivas a seguir: ( ) Indivíduos afetados pela doença são todos homozigotos. ( ) Não há qualquer relação de dominância entre o gene saudável e o gene mutante, pois existe a mesma quantidade de indivíduos saudáveis e doentes. ( ) A doença é ligada ao sexo, pois afeta mais homens que mulheres. ( ) O casal da geração III é formado por dois indivíduos heterozigotos. A sequência correta, no sentido de cima para baixo, é
Concurso:
Prefeitura de Jaguaribe - CE
Disciplina:
Ciências
Observe o desenho a seguir, que representa um circuito elétrico. O béquer contém água pura, à qual adicionam-se, individualmente, ácido fosfórico (H3PO4), ácido hipocloroso (HClO), ácido perclórico (HClO4) e ácido sulfúrico (H2SO4). Eles sofrerão ionização e a lâmpada do circuito acenderá.
A opção que mostra a ordem crescente de intensidade do brilho da lâmpada, que está diretamente relacionada com a força dos ácidos, é:
A opção que mostra a ordem crescente de intensidade do brilho da lâmpada, que está diretamente relacionada com a força dos ácidos, é:
Concurso:
Prefeitura de Jaguaribe - CE
Disciplina:
Biologia
O grupo Amniota se refere a todos os animais que cujos embriões possuem uma camada protetora chamada âmnion. Esse grupo está representado na árvore filogenética abaixo:
De acordo com a árvore filogenética, assinale a alternativa correta.
De acordo com a árvore filogenética, assinale a alternativa correta.
Concurso:
Prefeitura de Jaguaribe - CE
Disciplina:
Ciências
Qual a fórmula do composto formado entre os elementos 20Ca40 e 8O16 e qual a ligação envolvida?