Questões de Concurso
Filtrar
140 Questões de concurso encontradas
Página 18 de 28
Questões por página:
Questões por página:
Concurso:
Prefeitura de Varginha - MG
Disciplina:
Matemática
Em uma empresa, a porcentagem de mulheres em cargos de liderança é distribuída da seguinte forma:
• Gerência: 50 mulheres, com um peso de importância de 3.
• Diretoria: 20 mulheres, com um peso de importância de 5.
• Supervisão: 30 mulheres, com um peso de importância de 2.
Assinale a alternativa que indica qual é a média ponderada da presença de mulheres nesses cargos, considerando os pesos de importância:
• Gerência: 50 mulheres, com um peso de importância de 3.
• Diretoria: 20 mulheres, com um peso de importância de 5.
• Supervisão: 30 mulheres, com um peso de importância de 2.
Assinale a alternativa que indica qual é a média ponderada da presença de mulheres nesses cargos, considerando os pesos de importância:
Concurso:
Prefeitura de Varginha - MG
Disciplina:
Matemática
Em 2025, uma pesquisa revelou que 60% das empresas globais já utilizavam soluções de Inteligência Artificial (IA) em seus processos. Entre essas empresas,40% afirmaram que a IA aumentou sua eficiência operacional em 20%. Qual é a porcentagem total de empresas globais que tiveram um aumento de eficiência operacional devido à IA?
Concurso:
Prefeitura de Varginha - MG
Disciplina:
Matemática
Em 2023, foram abertas 2.000 vagas para concursos públicos de nível médio. Em 2024, o número subiu para 3.000 vagas, e em 2025, alcançou 4.500 vagas. Qual é a razão entre o número de vagas de 2025 e o total de vagas dos três anos somados?
Concurso:
Prefeitura de Varginha - MG
Disciplina:
Matemática
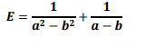
Seja 
Considere a expressão:

Determine o valor exato de E.
Concurso:
Prefeitura de Varginha - MG
Disciplina:
Matemática
Uma empresa faz entregas em dois bairros: Vila Matilde a cada 18 dias e Lapa a cada 24 dias. Se hoje ela fez entregas nos dois bairros, em quantos dias voltará a fazer entregas simultâneas nos dois bairros?