Questões de Concurso
Filtrar
537.802 Questões de concurso encontradas
Página 233 de 107.561
Questões por página:
O rápido processo de industrialização pelo qual o Brasil passou nos anos [...] 1950, sobretudo no governo JK, ampliou desequilíbrios de ordem econômica e gerou outros, aprofundando desigualdades regionais e setoriais. [...] as diferenças de renda per capita entre as regiões do país, que já eram altas, aumentaram. Os desequilíbrios regionais também continuaram pronunciados. A industrialização ficou concentrada no Sudeste, e em menor escala, na região Sul do país, enquanto o Nordeste recebia muito pouco estímulo deste processo, ficando cada vez mais para trás em desenvolvimento industrial, com relação ao resto da nação.
(IANNI, Octávio.2002.)
Considerado um dos governos democráticos de cunho populista, a “Era JK” efetivamente promoveu a modernização e um significativo crescimento da economia. Para tentar cumprir suas promessas de campanha, JK, como ficou conhecido, optou por uma política econômica baseada no desenvolvimento industrial que, dentre outros fatores
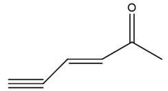
A prova que você segura, nesse momento, é constituída por átomos. A folha de papel é composta por átomos que se unem e formam um tipo de polissacarídeo – a celulose; enquanto a impressão envolve uma mistura de pigmentos, resinas e solventes. A estrutura dos compostos e a natureza das ligações químicas depende da distribuição dos elétrons nos átomos. Sobre os hidrocarbonetos, analise a estrutura química a seguir:

O número de carbono(s) com hibridização sp3 na estrutura química fornecida será de:
É possível que algum candidato tenha na bolsa uma barra de chocolate, ou até mesmo balas, como fonte de nutriente. Nosso organismo, heterotrófico, precisa da glicose (C6H12O6) proveniente da alimentação para sobreviver e o hormônio da insulina deve estar presente, para permitir a entrada do carboidrato nas células. Uma empresa de táxi situada no centro da cidade convocou o corpo de bombeiros e o SAMU (Serviço de Atendimento Móvel de Urgência) para o resgate de um jovem de 315 kg que, devido a um mal súbito com desmaio, ficou preso entre os bancos de um dos automóveis da frota e não conseguia levantar-se sozinho. Após a análise médica e estabilização do paciente, foi constatado um quadro de hipoglicemia. Se o nível de glicose do paciente for de 43 mg/dL (considere 1dL = 0,1 L), a conversão desta unidade de concentração em mmol/L de glicose resultará no valor aproximado de:
(Dados de massas molares: C = 12,0 g/mol; O = 16,0 g/mol; e, H = 1,0 g/mol.)