Questões da prova:
Cebraspe (cespe) - 2011 - TRE-ES - Analista Judiciário - Estatística
limpar filtros
120 Questões de concurso encontradas
Página 9 de 24
Questões por página:
Questões por página:
Concurso:
TRE-ES
Disciplina:
Estatística
mostrar texto associado
Para os coeficientes β0 e β1, o cálculo das estimativas de mínimos quadrados depende da hipótese de normalidade dos erros aleatórios ε.
Concurso:
TRE-ES
Disciplina:
Estatística
mostrar texto associado
Considerando-se que, em uma amostragem estratificada para proporções, todos os estratos apresentem a variância populacional igual a 0,25, é correto afirmar que a fórmula para o cálculo do tamanho da amostra se reduz ao caso de amostra aleatória simples.
Concurso:
TRE-ES
Disciplina:
Estatística
mostrar texto associado
Para o total populacional T obtido com base em uma teoria não assintótica,
é um intervalo de confiança simétrico, em que
é o quantil da distribuição normal padrão, e n e N representam, respectivamente, o tamanho da amostra e o tamanho da população.
Concurso:
TRE-ES
Disciplina:
Estatística
mostrar texto associado
Uma pesquisa de âmbito nacional para obter a intenção dos brasileiros na eleição para presidente da República pode ser feita com base em uma amostragem que considera pelo menos três estágios: por região, por estado e por município.
Concurso:
TRE-ES
Disciplina:
Estatística
mostrar texto associado
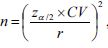
Considere que se deseja determinar o tamanho da amostra n, de forma que
em que 0 < α < 1, r > 0, e
x representa a média amostral. Nesse caso, é correto afirmar que
, em que Zα/2 é o quantil da distribuição normal padrão e CV é o coeficiente de variação.
