Questões da prova:
FGV - 2015 - TJ-RO - Analista Judiciário - Análise de Sistemas
limpar filtros
70 Questões de concurso encontradas
Página 5 de 14
Questões por página:
Questões por página:
Concurso:
TJ-RO
Disciplina:
Banco de Dados
Na construção de bancos de dados relacionais, o conceito de integridade referencial é usualmente implementado por meio de restrições conhecidas como:
Concurso:
TJ-RO
Disciplina:
Algoritmos e Estrutura de Dados
João tem um arquivo que contém uma lista de nomes e endereços, com mais de 100.000 registros, e precisa implementar um mecanismo de busca por nome.
João considerou três alternativas:
I. Árvore binária;
II. Tabela Hash;
III. Árvore B;
IV. Busca linear.
Depois de preparar os dados e testar cada algoritmo com nomes escolhidos aleatoriamente, João concluiu que, genericamente, a classificação desses métodos, do menor para o maior tempo de busca, é:
João considerou três alternativas:
I. Árvore binária;
II. Tabela Hash;
III. Árvore B;
IV. Busca linear.
Depois de preparar os dados e testar cada algoritmo com nomes escolhidos aleatoriamente, João concluiu que, genericamente, a classificação desses métodos, do menor para o maior tempo de busca, é:
Concurso:
TJ-RO
Disciplina:
Algoritmos e Estrutura de Dados
No âmbito da Teoria dos Jogos, considere a tabela a seguir, que apresenta, entre parênteses e respectivamente, os ganhos de cada um dos dois jogadores J1 e J2, de acordo com a combinação das respectivas estratégias [A1, B1, C1] e [A2, B2, C2].

O par de estratégias escolhidas respectivamente pelos jogadores J1 e J2, que está em Equilíbrio de Nash, é:
O par de estratégias escolhidas respectivamente pelos jogadores J1 e J2, que está em Equilíbrio de Nash, é:
Concurso:
TJ-RO
Disciplina:
Gerência de Projetos
Glaucia identificou problemas em um projeto de software cuja correção demandaria muitas alterações. Em vez de fazer essas alterações, a Gerente de Projeto de Software, Glaucia, decidiu elaborar um plano de contingência como resposta ao risco aplicando a estratégia:
Concurso:
TJ-RO
Disciplina:
Gerência de Projetos
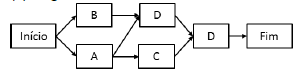
Para gerenciar tempo, Geraldo definiu e sequenciou as atividades do seu projeto de software. Para representá-las graficamente, Geraldo precisa de um método que use apenas relacionamentos de Término para Início entre as atividades, e que represente atividades fantasmas, também conhecidas por dummy. Para atender sua necessidade, Geraldo deve utilizar um: