Questões da prova:
        Cebraspe (cespe) - 2011 - Correios - Analista de Correios - Estatístico
      
      
       limpar filtros
      
                    
                
                  120 Questões de concurso encontradas                
                
                
                  Página 8 de 24                
                
                      Questões por página:
    
                    
                
              
              
            
            Questões por página:
    
                    
                Concurso:
                Correios
              
              
              
              
                
                  Disciplina:
                  
                    
                      Estatística                    
                  
                  
                
              
            
                
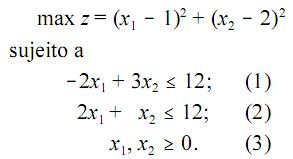
             mostrar texto associado
          
          
          
          
          
          
    
                    
        
            
    
        
        
        
        
        
        
        
      Para todo ponto viável 
 é uma direção de descida máxima.
                Concurso:
                Correios
              
              
              
              
                
                  Disciplina:
                  
                    
                      Estatística                    
                  
                  
                
              
            
                
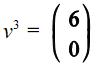
             mostrar texto associado
          
          
          
          
          
          
    
                    
        
            
    
        
        
        
        
        
        
        
      O vértice 
  é o único ponto de máximo global do problema.
                Concurso:
                Correios
              
              
              
              
                
                  Disciplina:
                  
                    
                      Estatística                    
                  
                  
                
              
            
                
             mostrar texto associado
          
          
          
          
          
          
    
                    
        
            
    
        
        
        
        
        
        
        
      Os vértices v0 e v2 do conjunto X representam pontos de máximos locais (não globais) do problema.
                Concurso:
                Correios
              
              
              
              
                
                  Disciplina:
                  
                    
                      Estatística                    
                  
                  
                
              
            
                
             mostrar texto associado
          
          
          
          
          
          O valor máximo de z no problema apresentado é inferior a 25.    
    
                    
        
            
    
        
        
        
        
        
        
        
      
                Concurso:
                Correios
              
              
              
              
                
                  Disciplina:
                  
                    
                      Estatística                    
                  
                  
                
              
            
                
             mostrar texto associado
          
          
          
          
          
          
    
                    
        
            
    
        
        
        
        
        
        
        
      Existem infinitas soluções ótimas,  isto é,  o conjunto de soluções ótimas é o segmento de reta juntando os vértices 


