ESAF - 2013 - MTur - Estatístico
limpar filtros
Questões por página:

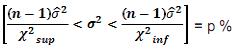
O Departamento de Recursos Humanos de uma grande empresa verificou que os salários dos funcionários da área financeira são normalmente distribuídos. Uma amostra aleatória de n salários apresentou desvio-padrão estimado igual a s. Assim, pode-se afirmar que o intervalo de p % de confiança para a variância populacional é igual a:

A produção anual de determinado produto é de 1000 unidades. Dessa produção, retirou-se uma amostra de 100 unidades, observando-se uma proporção amostral de 30% de produtos defeituosos. Desse modo, pode-se afirmar que o erro amostral ao nível de confiança de 95% é dado por:

Com relação à amostragem, pode-se afirmar que:

Uma variável aleatória X possui distribuição normal, com desvio-padrão igual a 2 unidades. O tamanho da amostra necessário para se ter 95,44% de confiança de que o erro padrão da estimativa da média populacional não seja maior do que 0,5 unidades é:

Um instituto de pesquisa está interessado no percentual de brasileiros que costumam usar transporte coletivo para ir ao trabalho. Para isso, foi retirada uma amostra de tamanho n, cuja proporção de brasileiros que costumam utilizar transporte coletivo para ir ao trabalho é igual a 30%. No entanto, por ficarem inseguros com o resultado obtido, os pesquisadores resolveram determinar que o erro de estimação deve ser de 1%, ao nível de confiança igual a 95%. Assim, o tamanho m de uma nova amostra deverá ser igual a: