Questões da prova:
ESAF - 2010 - SUSEP - Analista Técnico - Tecnologia da Informação
limpar filtros
140 Questões de concurso encontradas
Página 22 de 28
Questões por página:
Questões por página:
Concurso:
SUSEP
Disciplina:
Raciocínio Lógico
Uma urna contém bolas vermelhas, azuis, amarelas e pretas. O número de bolas pretas é duas vezes o número de bolas azuis, o número de bolas amarelas é cinco vezes o número de bolas vermelhas, e o número de bolas azuis é duas vezes o número de bolas amarelas. Se as bolas diferem apenas na cor, ao se retirar ao acaso três bolas da urna, com reposição, qual a probabilidade de exatamente duas bolas serem pretas?
Concurso:
SUSEP
Disciplina:
Raciocínio Lógico
Questão Anulada
Um estudo indica que, nas comunidades que vivem em clima muito frio e com uma dieta de baixa ingestão de gordura animal, a probabilidade de os casais terem filhos do sexo masculino é igual a 1/4. Desse modo, a probabilidade de um casal ter dois meninos e três meninas é igual a:
Concurso:
SUSEP
Disciplina:
Raciocínio Lógico
Um pai deseja dividir uma fazenda de 500 alqueires entre seus três filhos, na razão direta da quantidade de filhos que cada um tem e na razão inversa de suas rendas. Sabendo-se que a renda do filho mais velho é duas vezes a renda do filho mais novo e que a renda do filho do meio é três vezes a renda do mais novo, e que, além disso, o filho mais velho tem três filhos, o filho do meio tem dois filhos e o filho mais novo tem dois filhos, quantos alqueires receberá o filho do meio?
Concurso:
SUSEP
Disciplina:
Raciocínio Lógico
Sejam A e B dois conjuntos quaisquer e sejam A
B, A
B e A \ B, respectivamente, as operações de interseção, união e diferença entre eles. Seja
o conjunto vazio, U o conjunto universo e seja
opção correta é:
Concurso:
SUSEP
Disciplina:
Raciocínio Lógico
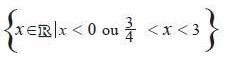
A inequação dada por
é definida no conjunto dos números reais,
, tem como solução o conjunto S representado por: