Questões da prova:
ESAF - 2012 - MDIC - Analista de Comércio Exterior
limpar filtros
60 Questões de concurso encontradas
Página 4 de 12
Questões por página:
Questões por página:
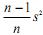
Seja s2 o estimador não tendencioso de σ2, a variância do termo estocástico εi no modelo de regressão linear simples Yi = α+ βxi + εi onde os εi são independentes e identicamente distribuídos com εi ~ N(0, σ2 ), i = 1,2, ..., n. Assim, o estimad
Considerando a população de empresas da questão 36, qual o valor mais próximo do número esperado de empresas exportadoras em uma amostra aleatória de tamanho 20 retirada sem reposição da população?
Em uma população de 50 empresas de uma região, 20 são empresas exportadoras. Retirando-se sem reposição uma amostra aleatória de tamanho 10 desta população de empresas, qual a probabilidade de que as 5 primeiras empresas escolhidas sejam empresas exportadoras e as 5 últimas não sejam exportadoras?
Considere n variáveis aleatórias independentes e identicamente distribuídas com distribuição
e considere ainda 
Dessa maneira, o quociente entre as variáveis aleatórias independentes
é uma variável aleatória:
e considere ainda 
Dessa maneira, o quociente entre as variáveis aleatórias independentes
é uma variável aleatória: Considere a cesta formada por cinco produtos A, B, C, D e E, com as seguintes relações entre seus preços e quantidades, onde p 0 representa os preços e q0, as quantidades transacionadas dos produtos no início do ano e p1 os preços no fim do ano:

Calcule o valor mais próximo da variação de preços da cesta no ano obtida pelo Índice de Preços de Laspeyres.
Calcule o valor mais próximo da variação de preços da cesta no ano obtida pelo Índice de Preços de Laspeyres.