80 Questões de concurso encontradas
Página 1 de 16
Questões por página:
Um espectrômetro de massa é um dispositivo bastante útil no trabalho de perícia criminal e, juntamente com outros dispositivos e técnicas de processamento de informações, permite a elaboração de peças fundamentais para a elucidação de crimes. O espectrômetro de massa permite a determinação da razão entre a massa e a carga de íons de carga conhecida, a determinação das massas de isótopos e sua abundância na natureza etc. O esquema a seguir mostra o funcionamento básico de espectrômetro com o seletor de velocidades. Os íons são acelerados em uma fonte por meio de uma diferença de potencial e entram em uma região de campo magnético uniforme onde executam uma trajetória semicircular e atingem uma placa fotográfica. O raio da órbita é proporcional à massa do íon.

Utilizando as informações do texto e considerando que um íon de níquel 58 Ni com carga +e e massa 9,6 · 10–26 kg é acelerado por uma diferença de potencial de 5,0 kV e desviado por um campo magnético uniforme de 1,2 T, assinale a alternativa que apresenta o raio de curvatura da órbita do íon.
Uma haste metálica de comprimento L = 30 cm tem uma extremidade fixada de modo que a outra extremidade possa girar livremente, descrevendo um movimento circular. Supondo que a referida haste encontre-se imersa em um campo de indução magnética uniforme com B = 2,0 · 10–3 Wb/m2 e gire com velocidade angular ω = 60 rad/s, assinale a alternativa que apresenta a força eletromotriz induzida entre as extremidades da haste.
Dois resistores idênticos de resistência R e um indutor de indutância L são conectados a uma bateria de tensão E por meio de uma chave S, como mostrado na figura.

Desprezando a resistência interna da bateria, assinale a alternativa que apresenta a correta corrente que atravessa o indutor em função do tempo t, depois de se fechar a chave.
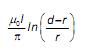
Dois fios cilíndricos idênticos, de raio r, são percorridos pela corrente I e são dispostos paralelamente como mostrado na figura a seguir. Os eixos dos dois fios estão separados por uma distância d.

Assinale a alternativa que apresenta a autoindutância por unidade de comprimento para o par de fios.