Questões da prova:
Cebraspe (cespe) - 2010 - PC-ES - Perito Criminal Especial
limpar filtros
120 Questões de concurso encontradas
Página 4 de 24
Questões por página:
Questões por página:
mostrar texto associado
Durante a gametogênese em humanos, células germinativas primordiais diploides se dividem por meiose, produzindo células haploides denominadas gametas, contendo um cromossomo de cada parte dos cromossomos homólogos encontrados na célula germinativa diploide.
mostrar texto associado
Os gametas são as células responsáveis pela transmissão da informação imunológica para células efetoras, de forma que diversos agentes patológicos sejam eliminados dos organismos hospedeiros, sendo esse um evento de ocorrência exclusiva em mamíferos.
Visualizar Questão Comentada
mostrar texto associado
A principal função do ciclo de Krebs é fazer a fotólise da água liberando elétrons que serão transportados pelas moléculas NAD e FAD.
Visualizar Questão Comentada
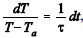
mostrar texto associado
Suponha que um sistema de temperatura T, diferente da temperatura Ta do ambiente que o circunda, tem a sua variação de temperatura modelada diferencialmente ao longo do tempo pela equação em que τ é uma constante de proporcionalidade que depende do sistema. Nesse caso, a variação de temperatura pode ser bem definida por uma função exponencial.
mostrar texto associado
Considere que um objeto de massa 10 M, em estado de repouso, sofra uma explosão interna ao sistema e fragmente-se em dois corpos de massas 3 M e 7 M. Nesse caso, sabendo-se que o corpo de massa 7 M encontra-se a 6 km da posição original do objeto, então a distância entre os fragmentos é de 20 km.