70 Questões de concurso encontradas
Página 9 de 14
Questões por página:
Questões por página:
Concurso:
Petrobras
Disciplina:
Não definido
Qual a função de transferência que corresponde a um sistema em tempo discreto assintoticamente estável?
Concurso:
Petrobras
Disciplina:
Não definido
Qual o valor aproximado da eficiência da transmissão do sinal modulado em amplitude (AM-DSB), mostrado na Figura?
Concurso:
Petrobras
Disciplina:
Não definido
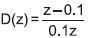
Um controlador de avanço de fase foi projetado em tempo contínuo, obtendo-se a seguinte função de transferência desse controlador:
Esse controlador foi utilizado em um sistema de controle digital, com um período de amostragem T = 0.1s, e a regra retangular de avanço (regra de Euler) para calcular o equivalente em tempo discreto de D(s), obtendo-se
Concurso:
Petrobras
Disciplina:
Não definido
Questão Anulada
A energia Ex do sinal x(t) = 4[u(t+1) - u(t)] + 4e-t u(t), onde u(t) é degrau unitário, é
Concurso:
Petrobras
Disciplina:
Não definido
A Figura apresenta o diagrama de blocos de um sistema de controle.
Considerando
Qual o ganho de realimentação de estados K para que o sistema em malha fechada tenha polos em -1, -2 e -3 ?