100 Questões de concurso encontradas
Página 12 de 20
Questões por página:
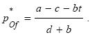
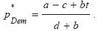
Suponha as seguintes curvas de oferta e demanda por um produto, respectivamente,
onde a, b, c, d > 0 são os parâmetros destas curvas. A respeito do equilíbrio antes e depois da introdução de um imposto sobre quantidades, assinale a afirmativa incorreta.
Seja p(Q) = a - bQ uma função de demanda agregada inversa por um produto, onde Q é quantidade, p o preço unitário e a, b > 0.
Sobre a elasticidade da demanda, considere:
I. A elasticidade é dada pela fórmula
II. A demanda é chamada elástica se
III. A elasticidade da demanda é unitária se
Assinale:
A função de produção
é tal que:
A tabela a seguir mostra a demanda por água num mercado onde existe apenas uma empresa, sem ameaça de entrada de outras.
Suponha que os custos da empresa sejam zero. Com relação ao comportamento da empresa monopolista, neste contexto de mercado, assinale a alternativa correta.