Questões da prova:
CETRO - 2014 - PM-SP - Curso de Formação de Sargento
limpar filtros
60 Questões de concurso encontradas
Página 8 de 12
Questões por página:
Questões por página:
O 12° termo da progressão aritmética (-7, -9, -11, ...) é
Rafaela comprou uma calça e obteve um desconto de 18% sobre o preço de etiqueta. Sabendo que o desconto foi de R$7,74, então, é correto afirmar que o preço de etiqueta era de
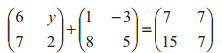
Considere a seguinte sentença envolvendo matrizes:
Diante do exposto, assinale a alternativa que apresenta o valor de y que torna a sentença verdadeira.
No colégio da Polícia Militar de certo município, no período da tarde, estudam 840 alunos em x salas com x + 2 alunos por sala. Portanto, é correto afirmar que o número de salas desse colégio é
Arnaldo é vendedor e recebe um salário fixo de R$1.235,00 mais um adicional de 4% das vendas efetuadas por ele no mês. Sabe-se que, no mês de maio, o valor das vendas efetuadas por ele foi de R$15.624,00. Logo, é correto afirmar que o salário bruto de Arnaldo, no mês de maio, foi igual a