Questões da prova:
IBFC - 2023 - Prefeitura de Cuiabá - MT - Estatístico
limpar filtros
60 Questões de concurso encontradas
Página 4 de 12
Questões por página:
Questões por página:
Concurso:
Prefeitura de Cuiabá - MT
Disciplina:
Estatística
Assinale a alternativa que apresenta qual o valor que maximiza a função z = 3x + 4y, sujeito a: (i) x + y ≤ 6; (ii) x ≤ 4; (iii) y ≤ 4 e (iv) x, y ≥ 0.
Considerando a matriz
assinale a alternativa que apresenta a matriz inversa.
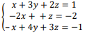
Assinale a alternativa em que o sistema é possível e determinado:
A dinâmica de entrada e saída de uma população é importante para a caracterização demográfica de uma localidade. Assinale a alternativa que apresenta como esta dinâmica é chamada.
A população brasileira cresceu muito nos últimos anos, havendo uma “explosão demográfica” registrada pelas altas taxas de natalidade. Contudo, os índices vêm diminuindo, contribuindo para uma mudança no perfil demográfico. Além disso, as taxas de mortalidade também diminuíram sensivelmente, o que significa melhoria da qualidade de vida da população. Sobre estas reduções, analise as afirmativas a seguir e dê valores Verdadeiro (V) ou Falso (F).
( ) Estas reduções podem ser explicadas pelo modo de vida urbano, onde os casais têm menos filhos do que no meio rural. ( ) Estas reduções podem ser explicadas pela adoção de políticas públicas visando o planejamento familiar. ( ) As reduções nas taxas de natalidade e mortalidade, além do aumento da população, contribuíram também para o seu envelhecimento.
Assinale a alternativa que apresenta a sequência correta de cima para baixo.
( ) Estas reduções podem ser explicadas pelo modo de vida urbano, onde os casais têm menos filhos do que no meio rural. ( ) Estas reduções podem ser explicadas pela adoção de políticas públicas visando o planejamento familiar. ( ) As reduções nas taxas de natalidade e mortalidade, além do aumento da população, contribuíram também para o seu envelhecimento.
Assinale a alternativa que apresenta a sequência correta de cima para baixo.