55 Questões de concurso encontradas
Página 5 de 11
Questões por página:
Questões por página:
Concurso:
Prefeitura Municipal de Crato - CE
Disciplina:
Matemática
O ponto da reta 3x − 4y + 8 = 0 que está mais próximo do ponto (2,1) é:
Concurso:
Prefeitura Municipal de Crato - CE
Disciplina:
Raciocínio Lógico
Considere os conjuntos
e as afirmações:
(i)
(ii)
(iii) Existem 9 funções f : C → B distintas e injetivas; (iv) Se g : A → B é sobrejetiva, então a cardinalidade do conjunto g−1 (1) ∪ g−1 (2) é 2.
Assinale a alternativa correta:
e as afirmações: (i)
(ii)
(iii) Existem 9 funções f : C → B distintas e injetivas; (iv) Se g : A → B é sobrejetiva, então a cardinalidade do conjunto g−1 (1) ∪ g−1 (2) é 2. Assinale a alternativa correta:
Concurso:
Prefeitura Municipal de Crato - CE
Disciplina:
Matemática
Suponha que 1 − i é raiz da equação x3+px2+12x+q = 0 onde p, q ∈ R. O valor de p + q é:
Concurso:
Prefeitura Municipal de Crato - CE
Disciplina:
Matemática
Considere as afirmações abaixo:
I. Dada a função f : R → R, dizemos que m0 ∈ R é ponto de mínimo de f, se a imagem de f está contida no intervalo [m0, ∞); II. Para as constantes b, c ∈ R a função quadrática f : (−∞, −b/2] → R, f(x) = x2 + bx + c é decrescente; III. A imagem da função quadrática f(x) = x2 + bx + c com b, c ∈ R é Im(f) = [(−b2 + 4c)/4, ∞); IV. Sejam f : R → R, f(x) = −x2 + bx + c, onde a, b, c ∈ R e b2 + 4c > 0. Se r1 e r2 são raízes de f com r1 < r2, então f(x) < 0 se, e somente se, x ∈ [r1, r2].
Assinale a alternativa correta:
I. Dada a função f : R → R, dizemos que m0 ∈ R é ponto de mínimo de f, se a imagem de f está contida no intervalo [m0, ∞); II. Para as constantes b, c ∈ R a função quadrática f : (−∞, −b/2] → R, f(x) = x2 + bx + c é decrescente; III. A imagem da função quadrática f(x) = x2 + bx + c com b, c ∈ R é Im(f) = [(−b2 + 4c)/4, ∞); IV. Sejam f : R → R, f(x) = −x2 + bx + c, onde a, b, c ∈ R e b2 + 4c > 0. Se r1 e r2 são raízes de f com r1 < r2, então f(x) < 0 se, e somente se, x ∈ [r1, r2].
Assinale a alternativa correta:
Concurso:
Prefeitura Municipal de Crato - CE
Disciplina:
Matemática
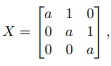
Seja X uma matriz quadrada de ordem 3 com entradas reais. As matrizes que comutam com X são todas as matrizes A = (aij ) de ordem 3 com entradas reais tais que AX = XA. Em particular, se
com a ∈ R e a ≠ 0, é correto afirmar:
com a ∈ R e a ≠ 0, é correto afirmar: