Questões da prova:
IFB - 2016 - IFB - Professor - Matemática
limpar filtros
50 Questões de concurso encontradas
Página 3 de 10
Questões por página:
Questões por página:
Um carrinho de controle remoto é inicialmente colocado no ponto O (0,0) do plano cartesiano e será programado para se deslocar desde O (0,0) até o ponto B(5,4) passando obrigatoriamente pelo ponto A (2,2). Este trajeto OAB será formado por uma sequência de 9 movimentos. Os únicos movimentos permitidos são para direita e para cima, e um de cada vez. Dessa forma, se o carrinho está no ponto (i, j) e faz um movimento para direita, então irá para o ponto (i + 1, j). Mas, se o carrinho está no ponto (i, j) e faz um movimento para cima, então irá para o ponto (i, j + 1). Sendo assim, cada um destes movimentos tem tamanho igual a 1. Sabendo disso, de quantas formas diferentes o carrinho pode fazer o trajeto OAB:
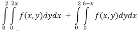
ALERT: Essa questão ainda está sendo revisada pela equipe FonteConcursos!
ALERT: Essa questão ainda está sendo revisada pela equipe FonteConcursos!
A equação 2x2 + y2 + 4x − 6y = 7 representa:
Em relação ao plano que passa pelos pontos A(0,1,3), B(1, −3,0) e C(1,0,2), pode-se afirmar que: