limpar filtros
Questões por página:
Com o surgimento da Física Quântica, diversos modelos foram sugeridos e a física experimental nunca se fez tão presente na colaboração e solução dos problemas encontrados. Explicar a natureza do espectro do hidrogênio, no início do século XX, era um dos principais problemas. Em 1906, o Físico Theodore Lyman descobre, experimentalmente, a primeira linha espectral resultante da emissão do átomo de hidrogênio. Esse feito proporcionou outros estudos, como as séries Balmer e Paschen, assim como a equação de Rydberg que explicou as linhas espectrais encontradas, e introduziu a chamada constante de Rydberg (R). Já em 1913, Niels Bohr produziu sua teoria atômica e, com isso, foi possível comparar sua teoria com a equação de Rydberg, mostrando perfeita sintonia. Assim, considerando um átomo de hidrogênio estacionário emitindo um fóton correspondente à primeira linha da série Lyman, podemos afirmar que a energia (E) desse fóton corresponde a:
Se 1,00 g de matéria pudesse ser convertido inteiramente em energia, qual seria o valor da energia assim produzida a 27,5 centavos de Real por kW.h?
O Sol irradia energia igualmente em todas as direções. Na posição da Terra, a irradiância da radiação do Sol é de 1,4 kW/m2 . Quanta massa o Sol perde por dia por causa da radiação? (Dado: distância entre o Sol e a Terra corresponde a, aproximadamente,1,50 × 1011 m)

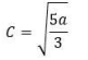
Suponha uma partícula contida em um poço quadrado inifinito, com largula que vai de x = − a até x = a. Sua função de onda é descrita como:

Imagem associada para resolução da questão

Podemos AFIRMAR que a constante de normalização C corresponde a:

No espaço livre, a densidade de carga elétrica ρE e a densidade de corrente elétrica JE são nulas. Nesta situação, fica destacada uma simetria entre o campo elétrico E e o campo magnético B nas equações de Maxwell. Por outro lado, quando ρE e JE são diferentes de zero, esta simetria não é evidente. No entanto, caso existissem cargas magnéticas e, por sua vez, densidades de correntes magnéticas, tal simetria seria recuperada. Neste contexto, na presença de cargas magnéticas e densidades de correntes magnéticas, qual das seguintes equações de Maxwell estariam INCORRETAS? (Dado: μº é a permeabilidade magnética no vácuo e εº é a permissividade elétrica no vácuo.)
Imagem associada para resolução da questão