Questões da prova:
IV-UFG - 2024 - Prefeitura de Jussara - GO - Odontólogo
limpar filtros
50 Questões de concurso encontradas
Página 7 de 10
Questões por página:
Questões por página:
Concurso:
Prefeitura de Jussara - GO
Disciplina:
Matemática
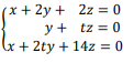
Considere o sistema linear a seguir.

O valor de t para que o sistema linear homogêneo apresentado, com 3 equações e três variáveis, x, y e z, tenha uma solução não trivial, é igual a
Concurso:
Prefeitura de Jussara - GO
Disciplina:
Matemática
A magnitude de um terremoto na escala Richter, denotada por R, é dada por R (E) =
, em que E é a energia liberada pelo terremoto, E0 é a energia liberada de um pequeno terremoto usado como referência, ou ainda por R (I) =
em que I denota a intesidade do terremoto. Um aumento de 2 unidades no valor de R resulta em um aumento de
, em que E é a energia liberada pelo terremoto, E0 é a energia liberada de um pequeno terremoto usado como referência, ou ainda por R (I) =
em que I denota a intesidade do terremoto. Um aumento de 2 unidades no valor de R resulta em um aumento de
Concurso:
Prefeitura de Jussara - GO
Disciplina:
Matemática
Observe a imagem a seguir.
Na imagem acima, temos uma parte dos gráficos das funções f(x) e g(x) em um mesmo sistema de coordenadas. As expressões para as funções são
Na imagem acima, temos uma parte dos gráficos das funções f(x) e g(x) em um mesmo sistema de coordenadas. As expressões para as funções são
Concurso:
Prefeitura de Jussara - GO
Disciplina:
Matemática
Um título de valor nominal de R$ 10.000 foi descontado 4 meses antes de seu vencimento a uma taxa de desconto comercial simples de 5% ao mês. Qual taxa de juros simples deve incidir sobre o valor recebido na operação de desconto para que, depois de 4 meses, a aplicação retorne aos R$ 10.000?
Concurso:
Prefeitura de Jussara - GO
Disciplina:
Matemática
Em uma padaria,3 funcionários trabalharam por 4 dias em uma jornada de 5 horas diárias e produziram 300 bolos. Se 1 funcionário saiu de férias, qual a jornada diária que os outros 2 funcionários devem cumprir para produzir 600 bolos em 5 dias?