Questões da prova:
CONSULPLAN - 2025 - Prefeitura de Indaiatuba - SP - Agente de Operação e Fiscalização de Trânsito e Transporte (Nível Superior)
limpar filtros
40 Questões de concurso encontradas
Página 5 de 8
Questões por página:
Questões por página:
A Secretaria de Fazenda de um município utiliza as funções f(x) = x2 + 5 e g(x) = 8x para prever indicadores econômicos. Os gestores querem combinar esses modelos de diferentes formas para verificar equilíbrio ou compensação entre cenários positivos e negativos. Para isso, são feitas as afirmações:
I. g ° f é ímpar. II. f ° g é ímpar. III. f · g é par.
Considerando o exposto, é correto afirmar que:
I. g ° f é ímpar. II. f ° g é ímpar. III. f · g é par.
Considerando o exposto, é correto afirmar que:
Certa artista plástica foi contratada para fazer uma escultura em homenagem ao aniversário da cidade X. Para isso, ela utilizou um triângulo retângulo, de hipotenusa 12 metros, cujo sólido gerado pela rotação desse triângulo em torno do eixo, que contém o maior lado do triângulo, tem volume 108 π m³. Qual a área desse triângulo, em metros quadrados?
A Secretaria de Infraestrutura de certo município está projetando uma nova praça pública no formato de um quadrado. O ponto A = (2,2) representa a localização de um dos vértices da praça, e a diagonal BD está contida na reta r: y = x + 3. Considerando esse projeto, qual o perímetro da praça, em unidades de comprimento?
Durante a elaboração de um sistema de cálculo automático de tributos para uma prefeitura, a equipe técnica propôs utilizar polinômios para modelar o comportamento de algumas variáveis fiscais. Considere que o polinômio P(x) = x3 + a · x2 + b · x + 8, com a e b pertencentes aos números reais, representa um modelo preliminar de projeção de arrecadação. Sabe-se que P(x) é divisível por Q(x) = x2 – x + 1, que representa uma função de ajuste adotada pelo setor de planejamento. Nessas condições, qual é o valor da soma a + b?
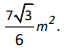
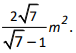
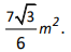
Durante o desenvolvimento de um projeto de praça pública, o arquiteto da prefeitura de determinada cidade propôs um padrão geométrico para ser utilizado em uma parte do piso do parquinho. A proposta consiste na disposição de triângulos equiláteros em sequência. Para isso, utilizou-se um modelo matemático em que os comprimentos dos lados dos triângulos, em metros, seguem a sequência infinita:
Com base no padrão descrito, a soma das áreas de todos esses triângulos, em metros quadrados, é igual a:
Com base no padrão descrito, a soma das áreas de todos esses triângulos, em metros quadrados, é igual a: