Questões da prova:
FUNDATEC - 2025 - Prefeitura de Imbé - RS - Cadastrador
limpar filtros
40 Questões de concurso encontradas
Página 2 de 8
Questões por página:
Questões por página:
Concurso:
Prefeitura de Imbé - RS
Disciplina:
Matemática
Uma fábrica recebeu uma carga de azeite de oliva armazenada em 25 tambores com 200 litros cada. Sabendo que o produto será fracionado em frascos de 0,50 dm³ cada, qual será a quantidade total de frascos produzidos?
Concurso:
Prefeitura de Imbé - RS
Disciplina:
Não definido
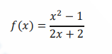
Considerando a função real a seguir, na qual todo x ≠ −1, qual é o valor da função no ponto x = 5 ?
Concurso:
Prefeitura de Imbé - RS
Disciplina:
Raciocínio Lógico
Qual é o próximo termo da sequência lógica abaixo?
2,5,10,17,26, ...
Concurso:
Prefeitura de Imbé - RS
Disciplina:
Matemática
Uma pessoa normalmente respira (inspirando e expirando) cerca de 25.920 vezes por dia. Sabendo que um dia tem 24 horas, quantas vezes, em média, essa pessoa respira por minuto?
Concurso:
Prefeitura de Imbé - RS
Disciplina:
Matemática
Qual é a representação decimal da fração 8/5 ?