Questões da prova:
Avança SP - 2026 - Prefeitura de Potim - SP - Analista de Planejamento e Orçamento (Nível Superior)
limpar filtros
50 Questões de concurso encontradas
Página 7 de 10
Questões por página:
Questões por página:
Concurso:
Prefeitura de Potim - SP
Disciplina:
Matemática
Juvenal está assistindo seu podcast favorito sobre finanças pessoais e gostou de um trecho em que o apresentador afirma que o ideal é que os gastos essenciais representem, no máximo,70% do salário.
Atualmente, Juvenal compromete 84% de sua renda mensal com gastos essenciais. Sem alterar seus gastos atuais, para que esses gastos passem a representar exatamente 70% de seu salário, ele precisaria receber um aumento mínimo, em relação ao salário atual, de ____.
Assinale a alternativa correta que completa a lacuna acima.
Atualmente, Juvenal compromete 84% de sua renda mensal com gastos essenciais. Sem alterar seus gastos atuais, para que esses gastos passem a representar exatamente 70% de seu salário, ele precisaria receber um aumento mínimo, em relação ao salário atual, de ____.
Assinale a alternativa correta que completa a lacuna acima.
Concurso:
Prefeitura de Potim - SP
Disciplina:
Matemática Financeira
Zuleide começou a fazer renda extra vendendo bolos caseiros e, com os lucros acumulados, decidiu aplicar um capital de R$ 5.000,00 em uma modalidade de investimento com juros simples, à taxa de 3% ao mês, durante 6 meses.
Assinale a alternativa que indica o valor total dos juros gerados ao final desse período.
Assinale a alternativa que indica o valor total dos juros gerados ao final desse período.
Concurso:
Prefeitura de Potim - SP
Disciplina:
Matemática
Considere o triângulo retângulo abaixo:

Sabendo que o lado b mede 4 unidades e que o lado a corresponde a 75% do valor de b, qual será o comprimento da diagonal c?
Assinale a resposta correta.
Concurso:
Prefeitura de Potim - SP
Disciplina:
Matemática
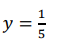
Considere a seguinte operação:

Sabendo que o número decimal 8,3333333… pertence ao conjunto dos racionais e pode ser representado por uma fração, reescreva a operação utilizando frações e calcule o valor de y.
Assinale a alternativa correta
Concurso:
Prefeitura de Potim - SP
Disciplina:
Matemática
Devanir aplicou 50 mil reais, sendo 10 mil reais numa caderneta de poupança e 40 mil reais em ações.
Nesse contexto, qual é a razão entre o valor aplicado em ações e o valor aplicado em caderneta? Assinale a resposta correta.
Nesse contexto, qual é a razão entre o valor aplicado em ações e o valor aplicado em caderneta? Assinale a resposta correta.