Questões da prova:
INSTITUTO AOCP - 2025 - SANESUL - Engenheiro Mecânico
limpar filtros
60 Questões de concurso encontradas
Página 4 de 12
Questões por página:
Questões por página:
Concurso:
SANESUL
Disciplina:
Engenharia Mecânica
No software AutoCAD, a formatação de impressão é um passo essencial para garantir que os desenhos técnicos sejam representados corretamente em papel ou em formato digital. Durante esse processo, diversos fatores devem ser configurados para que a impressão mantenha a escala e a legibilidade do desenho.
Considerando o exposto, quanto às boas práticas para a formatação de impressões no AutoCAD, assinale a alternativa correta.
Considerando o exposto, quanto às boas práticas para a formatação de impressões no AutoCAD, assinale a alternativa correta.
Concurso:
SANESUL
Disciplina:
Engenharia Mecânica
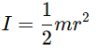
Um disco de massa 5 kg e raio de 0,4 m gira com velocidade angular constante de 30 rad/s. Sabe-se que a massa do disco está distribuída uniformemente e que o momento de inércia de um disco em relação ao seu eixo central é dado por:
Com base nas informações mencionadas, assinale a alternativa que apresenta o momento angular do disco.
Com base nas informações mencionadas, assinale a alternativa que apresenta o momento angular do disco.
Concurso:
SANESUL
Disciplina:
Engenharia Mecânica
Os parafusos são elementos fundamentais em uniões mecânicas, garantindo fixação segura e permitindo desmontagens quando necessárias. Existem diferentes tipos de uniões aparafusadas, que variam conforme a aplicação e as solicitações mecânicas envolvidas. Nesse sentido, referente às características e às aplicações das uniões aparafusadas, assinale a alternativa correta.
Concurso:
SANESUL
Disciplina:
Engenharia Mecânica
Uma barra cilíndrica de aço com 2 metros de comprimento e diâmetro de 30 mm está submetida a uma carga axial de 50 kN em tração. Sabendo que o módulo de elasticidade do aço é 200 GPa, assinale a alternativa que apresenta a deformação total da barra sob essa carga.
Concurso:
SANESUL
Disciplina:
Engenharia Mecânica
Uma bomba centrífuga é utilizada para transportar água a uma vazão de 50 m³/h e altura manométrica de 40 metros. Sabendo que a densidade da água é de 1000 kg/m³, a gravidade é de 9,81 m/s² e que a bomba possui um rendimento de 51,61%, qual é a potência real necessária para operar essa bomba?