Questões da prova:
IDECAN - 2023 - SEFAZ - PA - Técnico em Infraestrutura de Tecnologia da Informação (Nível Médio)
limpar filtros
80 Questões de concurso encontradas
Página 12 de 16
Questões por página:
Questões por página:
Concurso:
SEFAZ - PA
Disciplina:
Raciocínio Lógico
Qual a negação da proposição “O Brasil foi campeão da copa do mundo de 1994 e o prêmio FIFA de melhor jogador foi para Romário”?
Concurso:
SEFAZ - PA
Disciplina:
Raciocínio Lógico
No que diz respeitos às operações com conjuntos, marque a alternativa correta.
Concurso:
SEFAZ - PA
Disciplina:
Raciocínio Lógico
A sequência de Lucas, uma das mais conhecidas na literatura especializada, admite esse nome em referência ao matemático francês François Édouard Anatole Lucas (1842- 1891), conhecido por suas significativas contribuições em teoria dos números e no ramo da matemática recreativa, como por exemplo, a elaboração do problema das torres de Hanói. Os elementos dessa sequência são, com as condições iniciais L0 = 2 e L1 = 1, {Ln}n∈N = {2,1,3,4,7,11,18,29,47,76, ...} e é definida pela relação de recorrência, n ≥ 2.
Concurso:
SEFAZ - PA
Disciplina:
Raciocínio Lógico
Um técnico de tecnologia da informação possui 7 projetos na área da economia a serem criados no Java e 4 na cultura. Desejando realizar uma atividade interdisciplinar, quantas organizações de 3 projetos na área da economia e 3 da área da cultura podem ser formados?
Concurso:
SEFAZ - PA
Disciplina:
Matemática
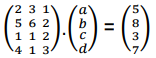
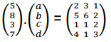
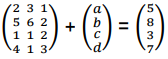
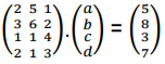
Em uma lanchonete A,2 sucos,3 salgados e 1 doce custam R$ 5,00. Na B,5 sucos,6 salgados e 2 doces custam R$ 8,00. Na C,1 suco,1 salgado e 2 doces custam R$ 3,00. E, por fim, na D,4 sucos,1 salgado e 3 doces custam R$ 7,00. Assinale a alternativa com a correta modelagem matricial desse problema.