Questões da prova:
IVIN - 2024 - Prefeitura de Bragança - PA - Estatístico
limpar filtros
40 Questões de concurso encontradas
Página 2 de 8
Questões por página:
Questões por página:
Concurso:
Prefeitura de Bragança - PA
Disciplina:
Estatística
Dado a distribuição de frequências: 9; 9; 4; 5; 2; 2; 8; 8; 1; 5. Qual o valor da mediana desta distribuição?
Concurso:
Prefeitura de Bragança - PA
Disciplina:
Estatística
Com relação à curtose, podemos afirmar, exceto que:
Concurso:
Prefeitura de Bragança - PA
Disciplina:
Estatística
Com relação ao cálculo de probabilidades podemos afirmar, exceto:
Concurso:
Prefeitura de Bragança - PA
Disciplina:
Estatística
Uma parte da população retirada para estudo e que reflete as características da própria população é:
Concurso:
Prefeitura de Bragança - PA
Disciplina:
Estatística
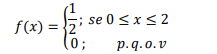
Com relação a função definida por mais de uma sentença a seguir,

Podemos afirmar que: